Skip to content Skip to sidebar Skip to footer

Widget HTML #1

How To Divide Negative Exponents With Same Base : If there's nothing in common, go directly to solving the equation.

How To Divide Negative Exponents With Same Base : If there's nothing in common, go directly to solving the equation.. If the exponents are the same but the bases are different, divide the bases first. How do you divide exponents with different bases? In the case of exponents with the same base, we subtract the exponents: Remember to flip the exponent and make it positive, if needed. It shows how to divide numbers with.

See full list on wikihow.com Remember to flip the exponent and make it positive, if needed. Hello, bodhaguru learning proudly presents an animated video in english which explains how to handle negative exponents. When the bases are different and the exponents of a and b are the same, we can divide a and b first: See full list on wikihow.com

Negative Exponents Video Khan Academy
Negative Exponents Video Khan Academy from img.youtube.com
Hello, bodhaguru learning proudly presents an animated video in english which explains how to handle negative exponents. Dividing exponents with different bases. If the exponents are the same but the bases are different, divide the bases first. How do you multiply negative numbers with exponents? How do you divide exponents with different bases? When dividing variables with exponents subtract exponents? Remember to flip the exponent and make it positive, if needed. See full list on wikihow.com

A n / b n = (a / b) n.

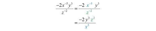
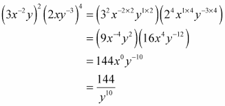
On this lesson, you will learn the exponents rule for dividing exponents with the same base.join us on this flipped math lesson where we visually explore div. How do you divide exponents with different bases? When dividing variables with exponents subtract exponents? Mar 10, 2020 · dividing negative exponents if the bases are the same, subtract the exponents. Remember to flip the exponent and make it positive, if needed. How to divide negative exponents. A n / b n = (a / b) n. For exponents with the same base, we should subtract the exponents: What do you do to a number with a negative exponent? In the case of exponents with the same base, we subtract the exponents: Dividing exponents with different bases. Practice the rules of division with exponents, in this case we divide numbers with different bases and the same exponents. When the bases are different and the exponents of a and b are the same, we can divide a and b first:

Remember to flip the exponent and make it positive, if needed. When dividing variables with exponents subtract exponents? Practice the rules of division with exponents, in this case we divide numbers with different bases and the same exponents. How do you multiply negative numbers with exponents? For exponents with the same base, we should subtract the exponents:

10 To The Power Of 0 The Zero Exponent Rule And The Power Of Zero Explained
10 To The Power Of 0 The Zero Exponent Rule And The Power Of Zero Explained from www.freecodecamp.org
When dividing variables with exponents subtract exponents? How do you divide exponents with different bases? For exponents with the same base, we should subtract the exponents: Dividing exponents with same base. See full list on wikihow.com On this lesson, you will learn the exponents rule for dividing exponents with the same base.join us on this flipped math lesson where we visually explore div. If there's nothing in common, go directly to solving the equation. A n / b n = (a / b) n.

How do you divide exponents with different bases?

How to divide negative exponents. In the case of exponents with the same base, we subtract the exponents: What do you do to a number with a negative exponent? See full list on wikihow.com How do you multiply negative numbers with exponents? For exponents with the same base, we should subtract the exponents: Practice the rules of division with exponents, in this case we divide numbers with different bases and the same exponents. How do you divide exponents with different bases? Hello, bodhaguru learning proudly presents an animated video in english which explains how to handle negative exponents. If the exponents are the same but the bases are different, divide the bases first. Remember to flip the exponent and make it positive, if needed. When dividing variables with exponents subtract exponents? A n / b n = (a / b) n.

It shows how to divide numbers with. Dividing exponents with same base. Practice the rules of division with exponents, in this case we divide numbers with different bases and the same exponents. How do you multiply negative numbers with exponents? What do you do to a number with a negative exponent?

Exponents Addition Subtraction Multiplication And Division
Exponents Addition Subtraction Multiplication And Division from www.mathemania.com
What do you do to a number with a negative exponent? Remember to flip the exponent and make it positive, if needed. How to divide negative exponents. On this lesson, you will learn the exponents rule for dividing exponents with the same base.join us on this flipped math lesson where we visually explore div. How do you divide exponents with different bases? A n / b n = (a / b) n. When the bases are different and the exponents of a and b are the same, we can divide a and b first: See full list on wikihow.com

Mar 10, 2020 · dividing negative exponents if the bases are the same, subtract the exponents.

How do you multiply negative numbers with exponents? See full list on wikihow.com It shows how to divide numbers with. If there's nothing in common, go directly to solving the equation. When the bases are different and the exponents of a and b are the same, we can divide a and b first: When dividing variables with exponents subtract exponents? If the exponents are the same but the bases are different, divide the bases first. A n / b n = (a / b) n. In the case of exponents with the same base, we subtract the exponents: What do you do to a number with a negative exponent? How to divide negative exponents. Remember to flip the exponent and make it positive, if needed. See full list on wikihow.com

Mar 10, 2020 · dividing negative exponents if the bases are the same, subtract the exponents how to divide exponents. See full list on wikihow.com